Energia Potencial Ondas
Monografia Mucavel Estudo Do Potencial Energetico De Ondas Na Praia
Atme Eco Solutions Maremotriz
Schrodinger Equation
Como Sao Formadas As Ondas E Mares Saber Atualizado
Capitulo 16
Muito Mais Que Uma Onda No Mar A Incrivel Ciencia Por Tras Do Surfe Ciencia E Saude G1
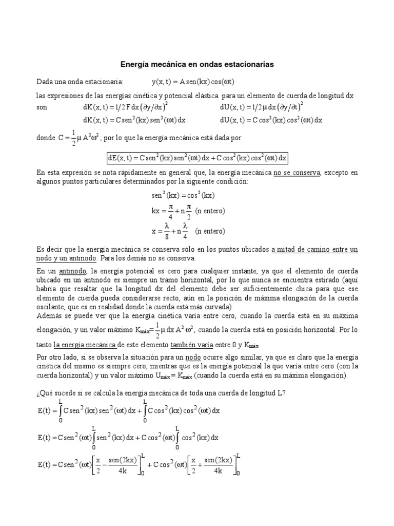
Energia En Ondas Estacionarias Olas Fuerza
Ondas De Gravidade Na Estratosfera Terrestre Inferida Atraves Da Tecnica De Radio Ocultacao De Gps
Distribuicao Mundial Do Potencial Energetico Da Energia Das Ondas Em Download Scientific Diagram
15 4 Energia Do Movimento Harmonico Simples Studocu
Vantagens E Desvantagens Da Energia Das Ondas E Mares
Potencia E Intensidade De Ondas V1 Youtube
Power Transported By String Wave
Ondas Fisica Iii Ii 10 Mac Ppt Descargar
17 4 A Energia No Mhs Energia Potencial Fisica Termodinanica E Ondas
Ppt Mecanica Quantica Funcao De Onda Powerpoint Presentation Free Download Id
Potencial Energetico Em Ondas Oceanicas No Litoral Sul Do Brasil 978 6 0 2 By Leandro E Assis Alexandre Beluco
Geracao De Energia A Partir De Ondas Oceanicas 978 613 9 3 Por Giglliara S De Menezes Jonny Carlos Da Silva
Energia Gravitacional Fontes De Energia Eletrica Huedersonbotura
Esquema De Onda Energia Potencial Fonte Dean E Dalrymple Apud Ostritz Download Scientific Diagram
Duda Sobre Hipotesis De Broglie Y Energia Cinetica La Web De Fisica
Power Transported By String Wave
Mecanica Quantica Funcao De Onda Ppt Video Online Carregar
Conservacao Da Energia Mecanica Em Um Sistema Massa Mola Gifs De Fisica
To Get The File
Energia Das Ondas Ou Ondomotriz Energias Renovaveis Brasil
Energia Das Ondas Renovavel Economicamente Viavel E
Nivel De Energia Wikipedia A Enciclopedia Livre
Fundamentos De Termodinamica E Ondas Ppt Carregar
Energia Ondas E Mares
Particula Em Uma Caixa Wikipedia A Enciclopedia Livre
Equacao Da Potencia De Uma Onda Numa Corda Forum Tutorbrasil Matematica Portugues Fisica Quimica E Biologia
Experiencia Roda Maxwell Ulisboa Studocu
Ondas Para Gerar Energia No Chile Ips Em Portugues Noticias
Energia Das Ondas Estado De Desenvolvimento E Perspectivas Ppt Carregar
Ondas Conservacion Luz Wiki
Eu Ambientalista Energia Renovavel Energia Das Mares E Energia Geotermica
Ondas E Partaculas Instituto De Fasica Da Ufba
Fisica10 11nacionais
Como Produzir Energia Das Ondas E Das Mares Bluevision
18 Discuta Qualitativamente Os Fenomenos De Refle Chegg Com
Vibraciones Y Ondas
Energia Potencia E Intensidad De Ondas
Energia Das Ondas E Mares Energias Renovaveis
Natureza Das Ondas Nocoes Gerais De Ondas Colegio Web
Ondas Ppt Video Online Descargar
Novo Dispositivo Transforma Energia Potencial Das Ondas Em Energia Eletrica Observador
Energia De Ondas Do Mar E Fonte Renovavel Com Grande Potencial No Brasil Sobratema
Cepreuni Energia Potencia E Intensidad De Una Onda
Como A Energia Eletrica E Gerada Pelas Ondas Lorencini Analise De Oleo Isolante Termografia E Normas Abnt
Energia Marinha Enel Green Power
File Pt Energia Das Ondas Oceanicas Amilcar Dinis Honwana Pdf Energypedia Test Energypedia Info
Dispositivo Transforma Energia Potencial Das Ondas Em Energia Eletrica
Energia Potencial En La Longitud De Onda De Una Cuerda
Os Oceanos Sao Uma Grande Fonte Potencial De Energia
Capitulo 16
Geracao De Energia A Partir De Ondas Oceanicas Amazon Com Br
Barreiras De Potencial 18 Discuta Qualitativamen Chegg Com
Ondas De Gravidade Na Estratosfera Terrestre Inferida Atraves Da Tecnica De Radio Ocultacao De Gps
Geracao De Energia Das Ondas Electrical E Library Com
Resolucao De Questoes De Fisica Impressao Ondas Energia Potencial
Ondas Y Oscilaciones Monografias Com
Power Transported By String Wave
Cientistas Portugueses Descobrem Uma Utilidade Para As Ondas Do Mar Tvi24
Energia Cinetica E Energia Potencial Gravitacional Mecanica Fisica Educacao
Calameo Energia Maremotriz
Las Ondas
Sistema Flutuante Gera Energia Solar Eolica E Das Ondas Ciclovivo
Doc Parte De Ronald T T Ronald Ricardo Academia Edu
Estudo Sobre O Aproveitamento Da Energia Das Ondas Em Quebra Mares Portuarios Apresentado A 12 De Ju Inegi
Classificacao Das Ondas Brasil Escola
Maremotriz Energias Renovaveis
U Porto Ajuda A Transformar Ondas Em Energia Eletrica
Energia Das Ondas No Brasil
Energia De Las Ondas Espejo Plano Y Un Problema Bastante Simple Estudiar Fisica
Fundo De Energia Funae Recurso Maritimo
Esquema De Funcionamento De Um Tapchan 1 A Esta Fonte Vem Associados Download Scientific Diagram
Gifs De Fisica Sistema Massa Mola Conservacao Da Energia
Pin De Zpkno Zlukas Em Darkness Ondas De Hollywood Energia Cinetica Para Maiores
Representacao Das Duas Formas De Energia Das Ondas Download Scientific Diagram
Ondas Eletromagneticas O Que Sao E Caracteristicas Brasil Escola
Como Sao Formadas As Ondas E Mares Saber Atualizado
Ppt Energia Das Ondas Do Mar Powerpoint Presentation Free Download Id 8640
Ondas De Gravidade Na Estratosfera Terrestre Inferida Atraves Da Tecnica De Radio Ocultacao De Gps
Potencial Energetico Em Ondas Oceanicas No Litoral Sul Do Brasil Um Estudo Para Avaliacao E Aproveitamento Da Energia De Ondas Oceanicas No Litoral Do Estado Do Rio Grande Do Sul Portuguese Edition
Ppt Mecanica Quantica Funcao De Onda Powerpoint Presentation Free Download Id
Pergunte Ao Cref
Potencial E Estrategia De Desenvolvimento Da Energia Das Ondas Em Portugal Pdf Download Gratis
Classificacao Das Ondas Brasil Escola
Dinamica Energia Potencial Media
Energia Potencial Elastica Mecanica Fisica Educacao


